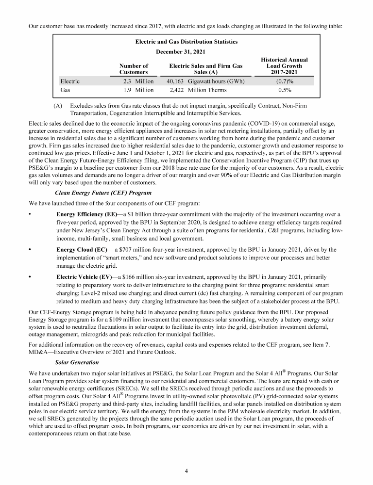
Warning
: your browser is no longer supported.
CLICK HERE
to review the supported browser list.
CLICK HERE
to download a PDF version of this report to read and/or print.
Annual Meeting
Annual Report
Form 10-K
Proxy
Menu
Close
Form 10-K
Cover Page
Form 10-K
Table of Contents
Forward-Looking Statements
Part I
1. Business
- Operations and Strategy
- Competitive Environment
- Human Capital Management
- Regulatory Issues
- Environmental Matters
- Information About Our Executive Officers (PSEG)
1A. Risk Factors
1B. Unresolved Staff Comments
2. Properties
3. Legal Proceedings
4. Mine Safety Disclosures
Part II
5. Market for Registrant's Common Equity, Related Stockholder Matters and Issuer Purchases of Equity Securities
6. [Reserved]
Management Discussion
7. Management's Discussion and Analysis of Financial Condition and Results of Operations
- Executive Overview of 2021 and Future Outlook
- Results of Operations
- Liquidity and Capital Resources
- Capital Requirements
- Critical Accounting Estimates
7A. Quantitative and Qualitative Disclosures About Market Risk
Financial Statements
8. Financial Statements and Supplementary Data
Report of Independent Registered Public Accounting Firm
Consolidated Financial Statements
Notes to Consolidated Financial Statements
1. Organization, Basis of Presentation and Summary of Significant Accounting Policies
2. Recent Accounting Standards
3. Revenues
4. Early Plant Retirements/Asset Dispositions and Impairments
5. Variable Interest Entities (VIEs)
6. Property, Plant and Equipment and Jointly-Owned Facilities
7. Regulatory Assets and Liabilities
8. Leases
9. Long-Term Investments
10. Financing Receivables
11. Trust Investments
12. Intangibles
13. Asset Retirement Obligations (AROs)
14. Pension, Other Postretirement Benefits (OPEB) and Savings Plans
15. Commitments and Contingent Liabilities
16. Debt and Credit Facilities
17. Schedule of Consolidated Capital Stock
18. Financial Risk Management Activities
19. Fair Value Measurements
20. Stock Based Compensation
21. Other Income (Deductions)
22. Income Taxes
23. Accumulated Other Comprehensive Income (Loss), Net of Tax
24. Earnings Per Share (EPS) and Dividends
25. Financial Information by Business Segment
26. Related-Party Transactions
9. Changes In and Disagreements With Accountants on Accounting and Financial Disclosure
9A. Controls and Procedures
9B. Other Information
9C. Disclosure Regarding Foreign Jurisdictions that Prevent Inspections
Part III
10. Directors, Executive Officers and Corporate Governance
11. Executive Compensation
12. Security Ownership of Certain Beneficial Owners and Management and Related Stockholder Matters
13. Certain Relationships and Related Transactions, and Director Independence
14. Principal Accountant Fees and Services
Part IV
15. Exhibits, Financial Statement Schedules
Schedule II - Valuation and Qualifying Accounts
Signatures
Help & Features
Downloads
Company Home
Share
Print
Clickable Index
Thumbnails
Accessibility Features
Help
Menu
Zoom In
Zoom Out
Zoom In
Search
Search
Search
Home
Home
Home
Home
Home
Zoom Out
Annual Meeting
Annual Report
Form 10-K
Proxy Statement
Company Home
2021 Form 10-K
PSEG
2022 Annual Meeting
2021 Annual Report
2021 Form 10-K
2022 Proxy Statement
{doc5_shortdoctitlestripped}
{doc6_shortdoctitlestripped}
{doc7_shortdoctitlestripped}
{doc8_shortdoctitlestripped}
{doc9_shortdoctitlestripped}
{doc10_shortdoctitlestripped}
{doc11_shortdoctitlestripped}
{doc12_shortdoctitlestripped}
{doc13_shortdoctitlestripped}
{doc14_shortdoctitlestripped}
{doc15_shortdoctitlestripped}
Home
Home
Home
Home
Print
Print
Print
Clickable Index
Clickable Index
Thumbnails
Thumbnails
Help
Help
Unpin Menu Bar
Pin Menu Bar
Go to previous page
Go to previous page
Go to previous page
Go to previous page
Go to next page
Go to next page
Go to next page
Page 11 of 184
Form 10-K
Cover Page
Form 10-K
Table of Contents
Forward-Looking Statements
Part I
1. Business
- Operations and Strategy
- Competitive Environment
- Human Capital Management
- Regulatory Issues
- Environmental Matters
- Information About Our Executive Officers (PSEG)
1A. Risk Factors
1B. Unresolved Staff Comments
2. Properties
3. Legal Proceedings
4. Mine Safety Disclosures
Part II
5. Market for Registrant's Common Equity, Related Stockholder Matters and Issuer Purchases of Equity Securities
6. [Reserved]
Management Discussion
7. Management's Discussion and Analysis of Financial Condition and Results of Operations
- Executive Overview of 2021 and Future Outlook
- Results of Operations
- Liquidity and Capital Resources
- Capital Requirements
- Critical Accounting Estimates
7A. Quantitative and Qualitative Disclosures About Market Risk
Financial Statements
8. Financial Statements and Supplementary Data
Report of Independent Registered Public Accounting Firm
Consolidated Financial Statements
Notes to Consolidated Financial Statements
1. Organization, Basis of Presentation and Summary of Significant Accounting Policies
2. Recent Accounting Standards
3. Revenues
4. Early Plant Retirements/Asset Dispositions and Impairments
5. Variable Interest Entities (VIEs)
6. Property, Plant and Equipment and Jointly-Owned Facilities
7. Regulatory Assets and Liabilities
8. Leases
9. Long-Term Investments
10. Financing Receivables
11. Trust Investments
12. Intangibles
13. Asset Retirement Obligations (AROs)
14. Pension, Other Postretirement Benefits (OPEB) and Savings Plans
15. Commitments and Contingent Liabilities
16. Debt and Credit Facilities
17. Schedule of Consolidated Capital Stock
18. Financial Risk Management Activities
19. Fair Value Measurements
20. Stock Based Compensation
21. Other Income (Deductions)
22. Income Taxes
23. Accumulated Other Comprehensive Income (Loss), Net of Tax
24. Earnings Per Share (EPS) and Dividends
25. Financial Information by Business Segment
26. Related-Party Transactions
9. Changes In and Disagreements With Accountants on Accounting and Financial Disclosure
9A. Controls and Procedures
9B. Other Information
9C. Disclosure Regarding Foreign Jurisdictions that Prevent Inspections
Part III
10. Directors, Executive Officers and Corporate Governance
11. Executive Compensation
12. Security Ownership of Certain Beneficial Owners and Management and Related Stockholder Matters
13. Certain Relationships and Related Transactions, and Director Independence
14. Principal Accountant Fees and Services
Part IV
15. Exhibits, Financial Statement Schedules
Schedule II - Valuation and Qualifying Accounts
Signatures
Form 10-K
Form 10-K
Cover Page
Form 10-K
Table of Contents
Forward-Looking Statements
Part I
Part I
1. Business
- Operations and Strategy
- Competitive Environment
- Human Capital Management
- Regulatory Issues
- Environmental Matters
- Information About Our Executive Officers (PSEG)
1A. Risk Factors
1B. Unresolved Staff Comments
2. Properties
3. Legal Proceedings
4. Mine Safety Disclosures
Part II
Part II
5. Market for Registrant's Common Equity, Related Stockholder Matters and Issuer Purchases of Equity Securities
6. [Reserved]
Management Discussion
Management Discussion
7. Management's Discussion and Analysis of Financial Condition and Results of Operations
- Executive Overview of 2021 and Future Outlook
- Results of Operations
- Liquidity and Capital Resources
- Capital Requirements
- Critical Accounting Estimates
7A. Quantitative and Qualitative Disclosures About Market Risk
Financial Statements
Financial Statements
8. Financial Statements and Supplementary Data
Report of Independent Registered Public Accounting Firm
Consolidated Financial Statements
Notes to Consolidated Financial Statements
Notes to Consolidated Financial Statements
1. Organization, Basis of Presentation and Summary of Significant Accounting Policies
2. Recent Accounting Standards
3. Revenues
4. Early Plant Retirements/Asset Dispositions and Impairments
5. Variable Interest Entities (VIEs)
6. Property, Plant and Equipment and Jointly-Owned Facilities
7. Regulatory Assets and Liabilities
8. Leases
9. Long-Term Investments
10. Financing Receivables
11. Trust Investments
12. Intangibles
13. Asset Retirement Obligations (AROs)
14. Pension, Other Postretirement Benefits (OPEB) and Savings Plans
15. Commitments and Contingent Liabilities
16. Debt and Credit Facilities
17. Schedule of Consolidated Capital Stock
18. Financial Risk Management Activities
19. Fair Value Measurements
20. Stock Based Compensation
21. Other Income (Deductions)
22. Income Taxes
23. Accumulated Other Comprehensive Income (Loss), Net of Tax
24. Earnings Per Share (EPS) and Dividends
25. Financial Information by Business Segment
26. Related-Party Transactions
9. Changes In and Disagreements With Accountants on Accounting and Financial Disclosure
9A. Controls and Procedures
9B. Other Information
9C. Disclosure Regarding Foreign Jurisdictions that Prevent Inspections
Part III
Part III
10. Directors, Executive Officers and Corporate Governance
11. Executive Compensation
12. Security Ownership of Certain Beneficial Owners and Management and Related Stockholder Matters
13. Certain Relationships and Related Transactions, and Director Independence
14. Principal Accountant Fees and Services
Part IV
Part IV
15. Exhibits, Financial Statement Schedules
Schedule II - Valuation and Qualifying Accounts
Signatures
Single Page View
Double Page View
...Previous
Continue...
WARNING: JavaScript is disabled.
CLICK HERE
for help.
Click here
for a list of supported browsers.